Facebook Instagram Twitter Youtube
  • News
  • Goa Digest
  • Video
  • Homepages
    • Homepage – Goa Digest
    • Homepage – Random
    • Homepage – Tech
    • Homepage – Sport
    • Homepage – Full Post Featured
    • Homepage – Infinite Scroll
    • Homepage – Newspaper
    • Homepage – Magazine
    • Homepage – Loop
    • Homepage – Big Slide
    • Homepage – Less Images
  • Grievance Redressal
  • IFFI 2025
Search
Thursday, April 23, 2026
  • Blog
  • Forums
  • About Us
Facebook Instagram Twitter Youtube
digitalgoa
Google search engine
  • News
  • Goa Digest
    • Career Jagor: 600 Teachers to be trained to give career guidance to school students
      Khattar left Goa before FIR says SP Kadam; manhunt launched
      Goa teams excel at Codeavour 7 India Nationals, qualify for Jakarta internationals
      Day 3 of Cashew Fest 2026
      Goa Cashew Fest – Day 2, April 11
  • Video
    • Noted Konkani writer Pundalik Naik calls for protection of land and environment
      One of Goa’s most popular pastimes—crab catching
      Massive Jellyfish Catch at Four Pillars Manos in Panaji
      Inviting Disaster: Illegal Sand Extraction on the Divar–Ribandar Ferry Route
      Christmas Special: Goan Flavours Find a Home in Ahmedabad’s First Goan Bakery
  • Homepages
    • Homepage – Goa Digest
    • Homepage – Random
    • Homepage – Tech
    • Homepage – Sport
    • Homepage – Full Post Featured
    • Homepage – Infinite Scroll
    • Homepage – Newspaper
    • Homepage – Magazine
    • Homepage – Loop
    • Homepage – Big Slide
    • Homepage – Less Images
  • Grievance Redressal
  • IFFI 2025
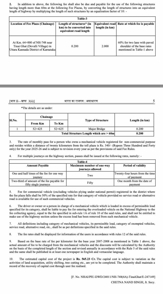
Home Uncategorized Centre notifies toll collection on Khanapur–Goa border highway
  • Uncategorized

Centre notifies toll collection on Khanapur–Goa border highway

By
Digital Goa
-
November 10, 2025

Facebook
Twitter
Pinterest
WhatsApp
    Digital Goa
    Digital Goa

    RELATED ARTICLESMORE FROM AUTHOR

    Uncategorized

    Liquor outlets in Shirgao, Assnora, Mulgaon, Corjuve and Mayem to remain closed on account of Shirgao Jatra

    Uncategorized

    GHRDC to hold job fair in Verna on April 23, around 740 vacancies available

    Uncategorized

    Correction issued in Ponda–Bhoma highway  land acquisition notification;  claims invited till May 6

    Social Media

    22,301FansLike
    5,813FollowersFollow
    2,000SubscribersSubscribe
    - Advertisement -

    EDITOR PICKS

    ED searches in Goa linked to Karnataka MLA’s illegal iron ore export case

    Digital Goa - August 16, 2025

    Gold ornaments worth ₹1.9 lakh stolen in Verna housebreak

    Digital Goa - January 12, 2026

    High Court directs Panchayat Director to act against Sarpanchas failing to set up MRF

    admin - January 9, 2023

    Goa Govt to grant temporary status to 3,000 daily wage workers from August 1,2025

    Digital Goa - July 22, 2025
    Digital Goa is your news website. We provide you with hyperlocal Goa News
    Contact us: digitalgoanews@gmail.com; niraj@digitalgoa.com
    Facebook Instagram Twitter Youtube

    EVEN MORE NEWS

    Crime Branch arrests Odisha native accused in Saligao double murder case...

    April 21, 2026

    Career Jagor: 600 Teachers to be trained to give career guidance...

    April 21, 2026

    Khattar left Goa before FIR says SP Kadam; manhunt launched

    April 21, 2026

    POPULAR CATEGORY

    • News3644
    • Politics2365
    • Crime1970
    • Video165
    • DG videos155
    • SUB IFFI82
    • Disclaimer
    • Privacy Policy
    • Advertisement
    • Contact Us
    © Copyright © Digital Goa . All Rights Reserved